O nás
Společnost Pharmawell a.s. byla založena v roce 2008. Zabýváme se maloobchodní a velkoobchodní činností v oblasti farmacie. Spolupracujeme s obchodními partnery napříč EU, i mimo EU.
Distribuční sklady
Disponujeme vlastními distribučními sklady pro zajištění správné distribuční praxe, logistiky a bezproblémových dodávek zboží.




Jak šel čas a co přinesl?
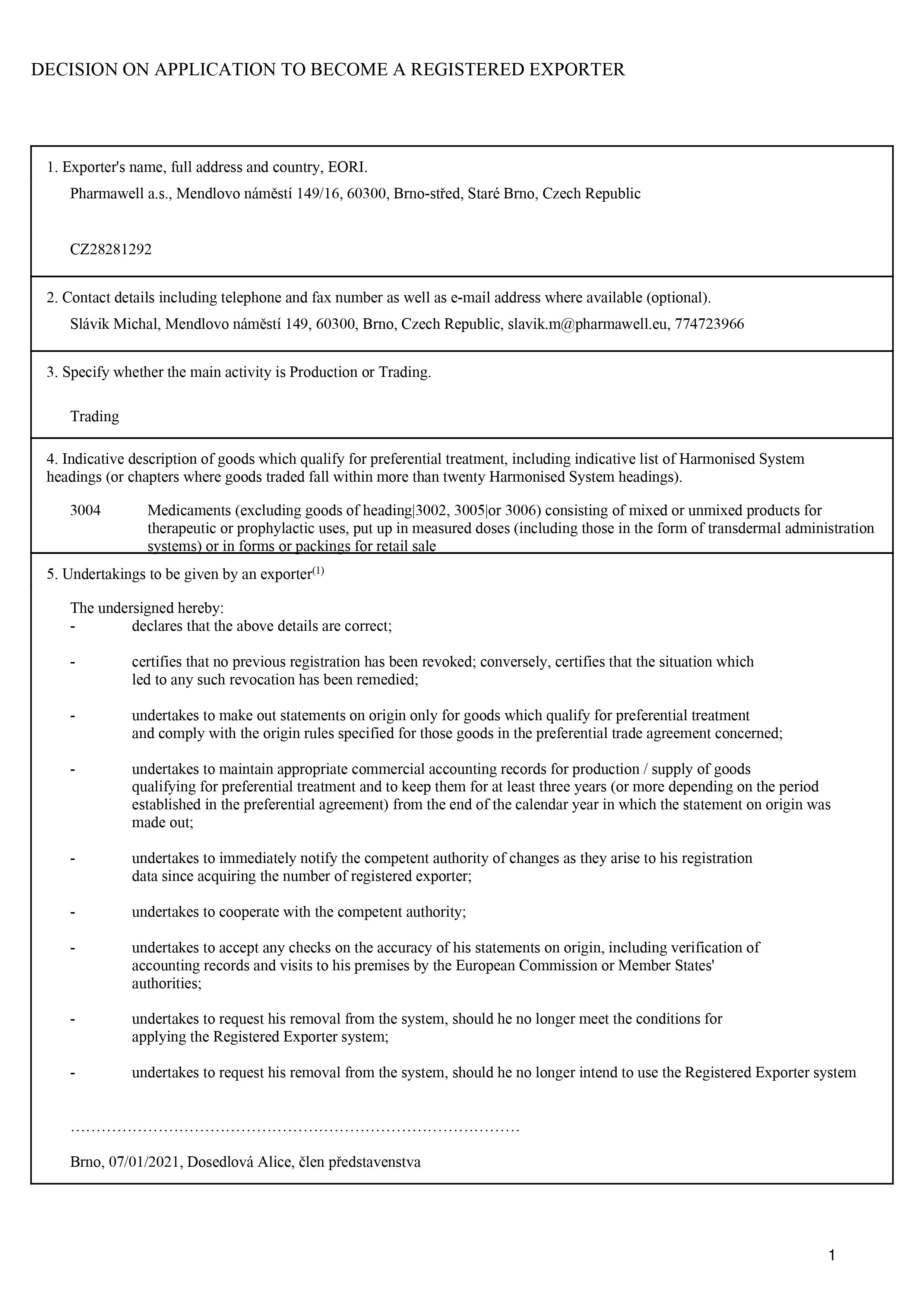
Certifikace
Naše činnosti
Pokud se o nás chcete dozvědět více, podívejte se na detailnější přehled našich aktivit.
Naše službyOzvěte se nám, rádi vám pomůžeme
Kontakty








